DUYURULAR
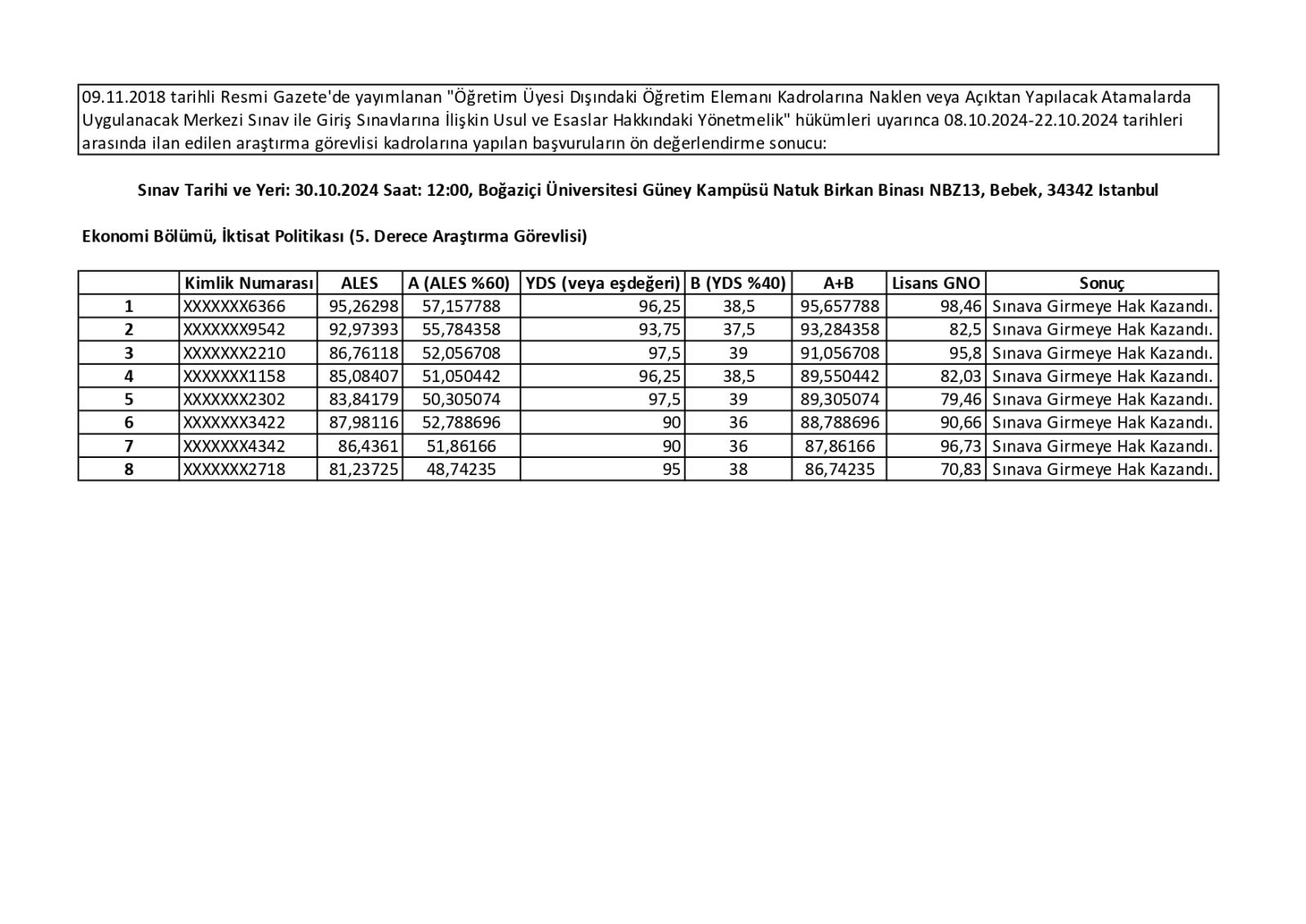
Ekonomi Bölümü Araştırma Görevlisi Kadrosu Ön Değerlendirme Sonucu
Veri Bilimi ve Yapay Zeka Enstitüsü Araştırma Görevlisi Alımı Nihai Değerlendirme Sonuçları
İktisadi ve İdari Bilimler Fakültesi Araştırma Görevlisi Alımı Nihai Değerlendirme Sonuçları
Veri Bilimi ve Yapay Zeka Enstitüsü Araştırma Görevlisi Alımı Ön Değerlendirme Sonuçları
Araştırma Görevlisi Alım İlanı
Mühendislik Fakültesi Araştırma Görevlisi Alımı Giriş Sınavı Sonuçları
Yönetim Bilimleri Fakültesi Araştırma Görevlisi Alımı Nihai Değerlendirme Sonuçları
Eğitim Bilimleri Bölümü Araştırma Görevlisi Alımı Nihai Değerlendirme Sonuçları
Fen - Edebiyat Fakültesi Araştırma Görevlisi Alımı Değerlendirme Sonuçları
Mühendislik Fakültesi Araştırma Görevlisi Alımı Giriş Sınavı Sonuçları
Etkili İletişim Eğitimi
Arama-Kurtarma Eğitimi
